线代强化
线代强化
行列式的定义、性质与计算















抽象行列式、矩阵运算
分块行列式



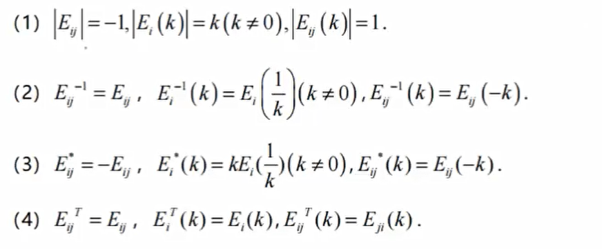
抽象行列式运算
行列式性质






矩阵的基本运算


方阵的幂✨
三种方法:
- 找规律
- 成比例
- 可对角化




伴随矩阵✨




总结
逆、初等矩阵、秩
矩阵的逆







初等矩阵
初等矩阵定义:单位矩阵作一次初等变换所得的矩阵
初等矩阵的性质






可逆矩阵方程


矩阵的秩✨
秩的性质







向量组的线性相关性
向量组的线性相关性
求法:
- 先看秩
- 不行在用定义







向量组的线性表示




向量组等价



向量组的极大无关组和秩






线性方程组







抽象方程组
不可逆矩阵求解


解的结构







公共解


证明方程组A、B同解:
- 方法1:将A的通解带入B,系数取任何值都成立,此时表示A的解都包含在B中,再证系数矩阵秩相同,则表示AB同解
- 方法2:证明两个方程组矩阵的行向量组等价,即两个方程组可以互相线性表示



特征值、特征向量与相似矩阵
求特征值:解| λE - A | = 0,得所有的特征值λ
求特征向量:解( λE - A )X = 0,求出基础解系α1, α2, …,则k1α1 + k2α2 + … 为特征向量(k不全为0)
特征值性质:
- 特征值之和 = 矩阵对角线之和 = 迹
- 特征值之积 = 矩阵的行列式
特征向量性质:
- 不同特征值的特征向量是线性无关的
- m重特征值对应的特征向量 <= m







相似矩阵
相似矩阵
若A ~ B,则秩、迹、行列式相等
相似对角化


对角化




实对称矩阵
实对称矩阵性质:
- 不同特征值的特征向量是相互正交的
- 实对称矩阵必可相似对角化,存在正交矩阵Q,Q^T A Q = diag(λ1,λ2,…,λn)




二次型
二次型化为标准型方法:
用正交变换化为二次型为标准型
配方法化为二次型
二次型f(x1, x2, x3) = 1 表示的二次曲面







正定二次型
判别正定二次型:
充要条件
- 定义:对任意X ≠ 0,X^T A X > 0
- A的特征值都大于0
- 正惯性指数为n
- 顺序主子式全大于0,(负定的奇数阶顺序主子式小于0,偶数阶大于0)
必要条件
若正定,则|A| > 0,主对角元素都大于0






两个矩阵的关系















