概率论基础
概率论基础
事件和概率
事件可以算出概率,概率推不出事件
概念
样本空间:随机试验的所有可能结果组成的集合
样本点:随机试验的每个结果
随机事件:包含若干样本点的集合,某个样本点的出现叫做事件发生
排列和组合:

古典概型
- 样本空间只包含有限个样本点
- 每个样本点发生的概率相同
P(A) = A中包含的基础事件数量 / 基础事件的总数
例题
注意点:
- 分类讨论用加法、分步进行用乘法
- 有些问题用1减去对立事件发生的概率更好做


实际推断原理:概率很小的事件再一次实验中几乎不发生,如果在一次实验中发生了,有理由怀疑假设的正确性
几何概型
- 样本空间只包含无限个样本点
- 每个样本点发生的概率都是“相同的”,为0
P(A) = A的测度(长度、体积、面积) / 总的测度
例题

事件



互斥关系:没有交集,AB = ∅,P(AB) = 0
对立关系:AB = ∅,A∪B = Ω
例题


条件概率
P(B|A) = P(AB) / P(A),在事件A发生的条件下事件B发生的概率
乘法公式:P(AB) = P(B|A)P(A)
例题

全概率公式和贝叶斯公式
全概率公式:
A发生的概率等于在各种条件下A发生的概率之和
P(A) = P(AB1) + P(AB2) + P(AB3) + … + P(ABn)
= P(A | B1)P(B1) + P(A | B2)P(B2) + P(A | B3)P(B3) + … + P(A | Bn)P(Bn)
贝叶斯公式:
在A发生的条件下,是某个条件的概率
P(Bi | A) = P(A | Bi)P(Bi) / P(A)
例题

独立性
A、B事件相互独立,
则 P(B|A) = P(AB) / P(A) = P(B)
∴ P(AB) = P(A)P(B)
因此,一个事件的发生与否不改变另一个事件发生的概率
注意:
- 只要不影响概率就是相互独立的,两件事不一定毫无关系
- P(A)>0,P(B)>0,如果A、B互斥,那么A发生B就不发生,A、B不相互独立
- A包含B,则A、B不相互独立
- 用P(AB) = P(A)P(B)判断独立性,不要凭感觉
- 三个事件相互独立,则两两也独立
例题


一维随机变量及其分布
随机变量
随机试验结果数值化
分类:
- 离散型
- 连续性
- 混合型
离散型随机变量
常见离散型分布
(0-1)分布
X~B(1, 概率)

二项分布
X~B(重复次数, 概率)

几何分布
X~G(概率)

负二项分布

几何级数公式推导↓
泊松分布
k可以看成粒子流在单位时间内通过的粒子个数,只能是整数
X~π(λ)

例题



分布函数
X是随机变量,x是任意实数,F(x) = P{X <= x},称为X的分布函数
用于计算区间上的概率之和
基本性质:
- F(x) 是一个单调不减的函数
- 规范性:F(-∞) = 0,F(+∞) = 1
- F(x + 0) = F(x),即右连续
例题

连续型随机变量
概率密度:用密度来表示这个点的概率
- P{X = x} = f(x)dx
- ∫(+∞, -∞) f(x) = 1
- f(x) >= 0,X的取值范围为f(x) > 0的区域
- 分布函数:F(x) = P{X <= x} = ∫(x, -∞) f(t)dt。F’(x) = f(x),不考虑不可导点
- F(x)连续,因为一个点的概率为0
分类:
- 均匀分布
- 指数分布
- 正态分布
均匀分布

指数分布
λ > 0
X~E(λ)


例题



正态分布

利用正态分布计算反常积分

例题

二维随机变量及其分布
离散型
分布律
例题

分布函数
- 单调不减
- 右连续
- 规范型
- 概率>=0
连续型
概率密度

分布函数
例题


二维正态分布

边缘分布
二维随机变量里面只研究一个随机变量
离散型

连续型

做题时一定要画图

条件分布
离散型


连续型


独立性
- 连续型判断独立性:概率密度f(x, y) = fX(x)fY(y)
- 离散型判断独立性:同时发生的概率为各自发生概率的乘积P{X = xi, Y = yj} = P{X = xi}P{Y = yj}
例题

随机变量函数
一维例题
:star:

分布函数法,求导得概率密度



二维例题


如果题目中Z = max(X, Y)或Z = min(X, Y)的情况时

数字特征
期望
期望也就是理论平均值

常见分布的期望



性质
- 设C是常数,则有E(C) = C
- X是随机变量,C是常数,则E(CX) = CE(X)
- X、Y是随机变量,则E(X+Y) = E(X) + E(Y)
- X、Y是随机变量,且相互独立,则有E(XY) = E(X)E(Y)

例题


方差
描述了随机变量在期望上下波动的程度
方差为偏离程度的平均值(期望)

性质
C是常数,D(C) = 0
C是常数,D(CX) = C²D(X),D(X + C) = D(X)
D(X+Y) = D(X) + D(Y) + 2E{ (X - E(X)(Y - E(Y))) }
若X、Y相互独立,则D(X+Y) = D(X) + D(Y)
D(X) = 0 <==> P{X = E(X)} = 1
常见分布的方差




伽马函数
正态分布的方差是σ²
协方差

协方差是两个随机变量 X 和 Y 之间线性关系的度量。协方差为正表示 X 和 Y 具有正相关关系,即当 X 增大时,Y 也倾向于增大;协方差为负表示 X 和 Y 具有负相关关系,即当 X 增大时,Y 倾向于减小
性质
- a,b为常数,Cov(aX, bY) = ab Cov(X, Y)
- Cov(X1 + X2, Y) = Cov(X1, Y) + Cov(X2, Y)
- 若X、Y相互独立,则Cov(X, Y) = 0
- C为常数,Cov(X, C) = 0
- Cov(X, X) = E(X - EX)(X - EX) = DX
例题

相关系数
相当于将协方差标准化,使取值范围在[-1, 1]之间,都是用于描述两个随机变量的相关性

性质
- |ρXY| <= 1
- |ρXY| = 1 充要条件是 P{Y = aX + b} = 1
- 相互独立则ρXY = 0
例题


矩

总结和例题




大数定律
切比雪夫不等式
用于描述随机变量与其均值之间的偏离程度

用于去掉异常数据
依概率收敛
大量样本的平均值具有稳定性

大数定理
弱大数定理

伯努利大数定理

切比雪夫大数定律

中心极限定理


数理统计基础
统计量
统计量是用来描述和总结一组数据的数值指标。
X1、X2、…、Xn独立同分布,则称为从分布函数F得到的容量为n的简单随机样本


统计量的数字特征

抽样分布
统计量的分布
x²分布
注意是标准正态分布的抽样分布

性质

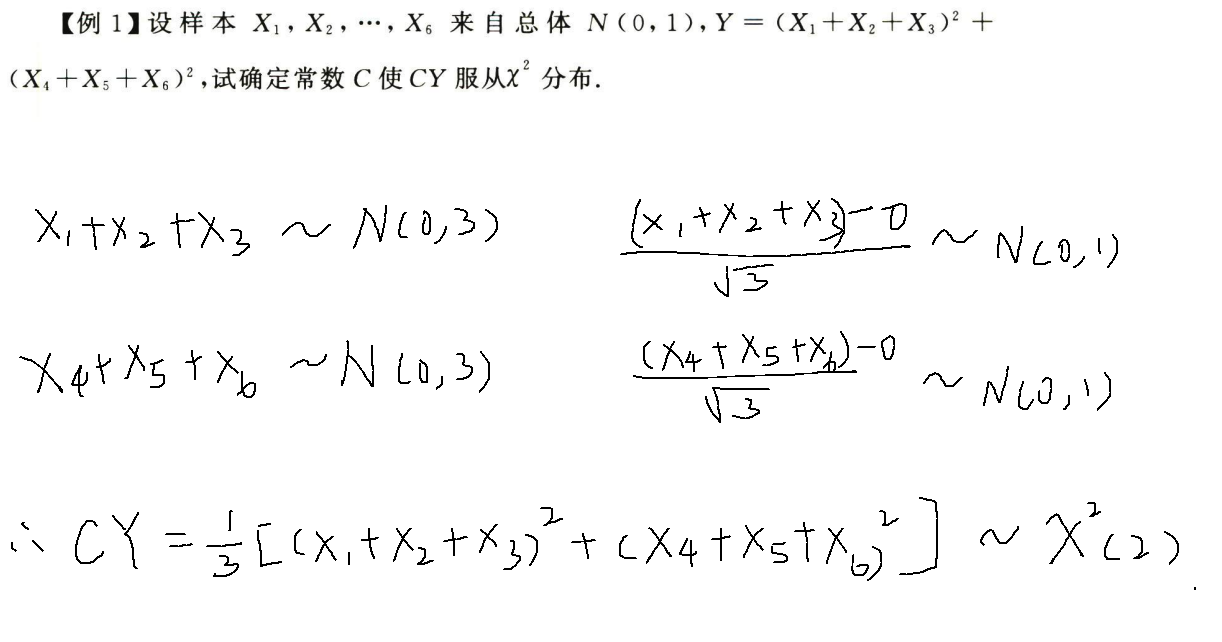
例题


t分布


例题

F分布



例题

参数估计与假设检验
点估计
X的分布函数已知,但一个或多个参数未知,通过样本来来估计未知参数的值称为参数的点估计问题
矩估计
用样本的原点矩、中心矩来近似整体的期望和方差

例题


最大似然估计
假设我们有一个参数化的概率分布模型 P(X; θ),其中X表示观测数据,θ表示需要估计的参数。最大似然估计的目标是找到参数θ的值,使得在给定观测数据X时,数据出现的概率(似然函数)最大。
离散型

例题

连续型

例题


估计量的评选标准
用来评价哪种估计方法好
无偏性
E(估计值) = 待估参数
有效性
D(θ1) <= D(θ2),则θ1比θ2有效
一致性(相合性)

例题


区间估计

显著性水平:犯错率(α)
置信度:正确率(1 - α)
置信区间:估计的值所在的区间
区间估计:估计的值在置信区间的概率要等于1 - α
题型


假设检验
对样本的均值进行检验,如果落在拒绝域则认为有问题

题型

例题








